-

-
氧化鋯陶瓷結構件是什么
也許大家對于陶瓷并不陌生,但是針對氧化鋯陶瓷結構件來講,這時就有很多人不太熟悉的。通常來講,氧化鋯陶瓷結構件還可以稱為工程陶瓷和精細陶瓷等。介于大家想了解,這里就來具體談下,氧化鋯陶瓷結構件是什么。所謂的結構件,其實就是在工件發揮左右的時候承受力
-

-
氧化鋯陶瓷和氧化鋁陶瓷哪個更耐磨
隨著氧化鋯陶瓷和氧化鋁陶瓷的廣泛應用,這時就會讓很多朋友都想了解一下,氧化鋯陶瓷和氧化鋁陶瓷哪個更耐磨?據小編了解,氧化鋯陶瓷與氧化鋁陶瓷是工業陶瓷的兩大主要應用產品,并且在經過實際應用經驗總結出兩種陶瓷的耐磨性對比,如下介紹:鈞杰陶瓷擁有掌握成
-

-
氧化鋯陶瓷刀具有哪些性能優勢
對于氧化鋯陶瓷刀具小編相信大家并不陌生,我們在生活中的日常用品餐具、刀具等也發生了明顯的變化。可以發現人們常用的刀具和餐具都變成了氧化鋯陶瓷材質的了,這種材質有什么特別的嗎?下面就由鈞杰陶瓷的技術部門給大家介紹:鈞杰陶瓷專注高品質陶瓷加工廠家,主
-

-
氧化鋯陶瓷常見的表面處理工藝有哪些
我國工業技術的發展越來越好,氧化鋯陶瓷現如今也是被廣泛應用到各行各業中,氧化鋯陶瓷具有熔點和沸點高、并且氧化鋯陶瓷的硬度是非常高的、常溫下為絕緣體、在高溫下則具有導電性等優異的功能,為了使氧化鋯陶瓷具有美觀的外表,需要對氧化鋯陶瓷進行進一步的處理
-

-
氧化鋯陶瓷耐酸堿腐蝕性能怎么樣
現在還是有很多人對于氧化鋯陶瓷并不是很了解這種陶瓷材料,其實氧化鋯陶瓷就是一種新型高技術陶瓷,氧化鋯陶瓷除了具有精密陶瓷應有高強度、硬度、耐高溫、耐酸堿腐蝕、耐磨損以及高化學穩定性等這些優良的特點,還具備較一般陶瓷高的堅韌性。那么這時就會有很多人會問到氧化鋯陶
-

-
氮化鋁陶瓷材料的應用有哪些
材料的進步其實是工業進步的一個明顯的標志,對新材料的掌控使用的能力,其實是生產力的一個重要的啟示,氮化鋁這種陶瓷材料 的性能優良,同時應用也是非常的廣泛,鈞杰陶瓷是專業加工各種陶瓷材料的加工廠家,對氮化鋁這種材料也是非常熟悉,為您介紹氮 化鋁
-

-
氧化鋁陶瓷刀具有哪些優異性能
氧化鋁陶瓷這種材料的應用非常廣泛,就是加工起來難度比較大,尤其是高精密的加工難度更大,氧化鋁陶瓷燒結產品的抗彎強度可達250MPa,熱壓產品可達500MPa。氧化鋁陶瓷的莫氏硬度可達到9,加上具有優良的抗磨損性能等,所以廣泛地用于制造
-

-
氧化鋁陶瓷的成型方法有哪些
氧化鋁陶瓷是一種以氧化鋁(Al2O3)為主體的陶瓷材料,用于厚膜集成電路。氧化鋁陶瓷有較好的傳導性、機械強度和耐高溫性。氧化鋁陶瓷制品成型方法有干壓、注漿、擠壓、冷等靜壓、注射、流延、熱壓與熱等靜壓成型等多種方法。鈞杰陶瓷是專門加工各
-

-
可加工陶瓷的加工難點有哪些
可加工陶瓷是一種加工金屬的方法就可以低其陶瓷材料進行加工,雖然說可加工陶瓷在特種陶瓷中可加工性是最好的,但在機械加工中還是具有一定難度的??杉庸ぬ沾删哂胁豢扇紵?、耐熱性、化學穩定性高、硬度高和良好的抗壓能力等多個特點、并且具有很好的尺寸穩定性和
-

-
可加工陶瓷和普通陶瓷的區別
可加工陶瓷是指用傳統的機加工方法就能進行加工并且保持一定精度的陶瓷材料。一般的陶瓷材料由于其自身化學鍵及微觀結構決定的低的韌性與難以加工是陶瓷材料最為顯著的兩大缺陷。韌性低可以用韌性技術來進行改善,不過為難加工的問題仍然是困擾著我們,主要是精加工的成功太高了,
-

-
可加工陶瓷有哪些種類
隨著高性能陶瓷材料的要求應用不斷的擴大與提高,現代高科技產業對陶瓷材料性能和加工質量提出來了更加苛刻強度更大的要求,特別是作為機械構件互相配合使用時,對陶瓷材料的要求更高了。我們鈞杰陶瓷也是緊跟其后,跟上了可加工陶瓷的這一波大浪潮,不僅對可加工陶瓷這一領域做出
-

-
做好氮化硅軸承球的必備條件有哪些
隨著高端裝備制造業、新型清潔能源的發展,用于風力發電機等的絕緣軸承、主軸軸承用量大幅提升,與之配套使用的氮化硅軸承球需求強勁。而為了提高軸承的使用壽命及性能,關鍵部件之一的軸承球的質量便十分關鍵。那么問題來了,一個好的氮化硅軸承球都需要什么呢?鈞
-

-
鋁碳化硅加工的發展前景怎么樣
鋁碳化硅(AlSiC)是鋁基碳化硅顆粒增強復合材料的簡稱,它充分結合了碳化硅陶瓷和金屬鋁的不同優勢,具有高導熱性、與芯片相匹配的熱膨脹系數、密度小、重量輕,以及高硬度和高抗彎強度,是新一代電子封裝材料中的佼佼者。鈞杰陶瓷開發一種全新的加工工藝,這
-

-
可加工陶瓷的用途有哪些
可加工陶瓷具有高強度、耐高溫、耐磨損、抗氧化等優異性能,在國防、軍工、航空航天等領域具有廣闊的應用前景。磨削是可加工陶瓷的主要加工手段,但由于陶瓷高硬脆性、低斷裂韌性的特點,在精密加工時易產生表面亞表面微裂紋,加工表面質量難以保證。許多高新技術領域對陶瓷零件的
-

-
macor陶瓷材料特性介紹
MACOR ®功能特性介紹 MACOR是有康寧公司生產的可加工陶瓷 可使用普通金屬加工機加工 Macor允許快速加工,無需后期處理。 保持嚴格的公差,最大0.0005in。(0.013毫米) 承受高達1000°C的高溫(空載)
-

-
macor可加工陶瓷的性能參數
Macor®可加工玻璃陶瓷。MACOR是有康寧公司生產的可加工陶瓷,它是一種白色,無味,外觀像陶瓷的材料。此材料大約含55%的氟金云母和45%的硼硅玻璃。 Macor®是一種可快速制備,可用普通金屬工具加工,加工后不需要后燒成的材料,所以,不
-

-
常溫下陶瓷材料干摩擦分析
室溫干摩擦條件下,陶瓷材料在配副摩擦的過程中,一般表現出較高的摩擦因數和磨損率(指被磨試樣的體積與磨擦功的比值,即單位摩擦功所磨試樣的體積,反映了材料的耐磨性能,與磨損量相關)研究認為,陶瓷/陶瓷配副的摩擦因數一般大于0.5,磨損率一般高于10-6mm3/(N
-

-
氧化鋁陶瓷工件受損的原因有哪些
氧化鋁是一種特殊的陶瓷材料,同時氧化鋁陶瓷也是一種用途比較廣泛的陶瓷,這主要是因為氧化鋁陶瓷的優越性能,如今在現代社會的應用已經越來越廣泛了,可以充分的滿足于日用和特殊性能的需要。當然我們在使用氧化鋁陶瓷的過程中,氧化鋁陶瓷也有被損壞的時候,從而
-

-
氧化鋁陶瓷主要有哪些用途
我相信現在還有許多人對氧化鋁陶瓷并不了解,氧化鋁陶瓷是一種以氧化鋁(Al2O3)為主體的陶瓷原材料,氧化鋁陶瓷主要是用于厚膜集成電路。氧化鋁陶瓷的熱膨脹低、熱導率高、機械強度高及耐磨性好、耐腐蝕、耐高溫等這些好的優點。如今氧化鋁陶瓷在現代化社會的
-

-
選擇氧化鋯陶瓷加工廠家要關注那幾點
近些年來,由于氧化鋯陶瓷他本身就具有很多的特性,使得氧化鋯陶瓷加工而成的產品也是備受廣大群眾歡迎的,同時大家現在對這種材質的產品需求量也就越來越大。為此,選擇一家可靠的加工廠家是非常有必要的。下面就由小編跟大家詳細介紹下選擇氧化鋯陶瓷加工廠家要關
-

-
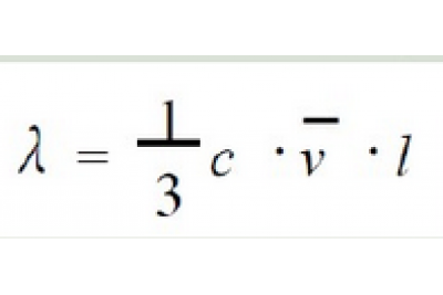
氮化鋁陶瓷熱導率的計算方法
AIN氮化鋁陶瓷因具有高的熱導率(室溫下理論熱導率為319W/(mK)、低的介電常數(25℃為8.8MHz)、與Si相匹配的熱膨脹系數(20-400℃時為4.3×10-6/℃)、良好的絕緣性(25℃時電阻率大于1014Ω.cm)然而,A

